| 一、完全随机设计的多个样本均数的比较 | 《预防医学》 |
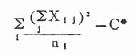
一、完全随机设计的多个样本均数的比较又称单因素方差分析。把总变异分解为组间(处理间)变异和组内变异(误差)两部分。目的是推断k个样本所分别代表的μ1,μ2,……μk是否相等,以便比较多个处理的差别有无统计学意义。其计算公式见表19-6。 表19-6 完全随机设计的多个样本均数比较的方差分析公式
*C=(ΣX)2/N=Σni,k为处理组数 表19-7 F值、P值与统计结论
方差分析计算的统计量为F,按表19-7所示关系作判断。 例19.9 某湖水不同季节氯化物含量测量值如表19-8,问不同季节氯化物含量有无差别? 表19-8 某湖水不同季节氯化物含量(mg/L)
H0:湖水四个季节氯化物含量的总体均数相等,即μ1=μ2=μ3=μ4 H1:四个总体均数不等或不全相等 α=0.05 先作表19-8下半部分的基础计算。 C= (Σx)2/N=(588.4)2/32=10819.205 SS总=Σx2-C=11100.84-10819.205=281.635 V总=N-1=31
V组间=k-1=4-1=3 SS组内=SS总-SS组间=281.635-141.107=140.465 V组内=N-k=32-4=28 MS组间=SS组间/v组间=141.107/3=47.057 MS组内=SS组内/v组内=140.465/28=5.017 F=MS组间/MS组内=47.057/5.017=9.380 以v1(即组间自由度)=3,v2(即组内自由度)=28查附表19-2,F界值表,得F0.05(3,28)=2.95,F0.01(3,28)=4.57。本例算得的F=9.380>F0.01(3,28),P<0.01,按α=0.05检验水准拒绝H0,接受H1,可认为湖水不同季节的氯化物含量不等或不全相等。必要时可进一步和两两比较的q检验,以确定是否任两总体均数间不等。 资料分析时,常把上述计算结果列入方差分析表内,如表19-9。 表19-9 例19.9资料的方差分析表
| |||||||||||||||||||||||||||||||||||||||||||||||||||||||||||||||||||||||||||||||||||||||||||||||||||||||||||||||||||||||||||||||||||||||||||||||||||||||||||||||||||||||||||||||||||||||||||
返回目录 |