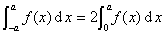
[定积分的性质]
		
		 
		
		
		
[分部积分法]

式中
[变量替换法] 
  设函数 在区间[
在区间[ ]上有连续的导数
]上有连续的导数 ,同时函数
,同时函数 在区间
在区间 上连续,并且
上连续,并且 从
从 单调地变到
单调地变到 ,则
,则
 	 
[利用函数奇偶性求积法]
  	若 为偶函数,则
为偶函数,则
	若 为奇函数,则
为奇函数,则
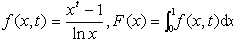
[利用积分对参数求导法] 设f(x,t)在有界区域 上连续,并且存在连续偏导数
上连续,并且存在连续偏导数 ,则当
,则当 时,有
时,有
  		
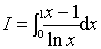
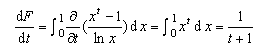
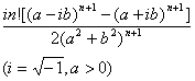
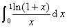
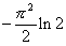
	例 计算积分
	解 设
则   .因
.因

 
	
 所以︳ .
.
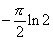
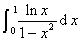
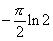
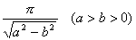
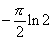
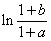
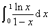
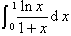
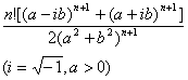
[定积分表]
| 定 积 分 | 定 积 分 值 | 
| 
 | 
 | 
| 
 | 
 | 
| 
 | 
 | 
| 定 积 分 | 定 积 分 值 | 
| 
 | 
 | 
| 
 | 
 | 
| 
 | 
 | 
| 
 | 
 | 
| 
 | 
 | 
| 
 | 
 | 
| 
 | 
 | 
| 
 | 
 | 
| 
 | 
 | 
| 
 | 
 | 
| 
 | 
 | 
| 
 | 
 | 
| 
 | 
 | 
| 
 | 
 | 
| 
 | 
 | 
| 
 
 
 | 
 | 
| 定 积 分 | 定 积 分 值 | 
| 
 | 
 | 
| 
 | 
 | 
| 
 | 
 | 
| 
 | 
 | 
| 
 | 
 | 
| 
 | 
 | 
| 
 | 
 | 
| 
 | 
 | 
| 
 | 
 | 
| 
 | 
 | 
| 
 | 
 | 
| 
 | 
 | 
| 
 | 
 | 
| 
 | 
 | 
| 
 | 
 | 
| 
 | 
 | 
| 
 | 
 | 
| 
 | 
 | 
| 
 | 
 | 
| 定 积 分 | 定 积 分 值 | 
| 
 | 
 | 
| 
 | 
 | 
| 
 | 
 | 
| 
 | 
 | 
| 
 | 
 | 
| 
 | 
 | 
| 
 | 
 | 
| 
 | 
 | 
| 
 | 
 | 
| 
 | 
 | 
| 
 | 
 | 
| 
 | 
 | 
| 
 | 
 | 
| 
 | 
 | 
| 
 | 
 | 
| 
 | 
 | 
| 
 
 | 
 | 
| 
 | 
 | 
| 
 | 
 | 
| 
 | 
 
 | 
| 定 积 分 | 定 积 分 值 | 
| 
 | 
 | 
| 
 | 
 | 
| 
 | 
 | 
| 
 | 
 | 
| 
 | 
 | 
| 
 | 
 | 
| 
 | 
 | 
| 
 | 
 | 
| 
 | 
 | 
| 
 | 
 | 
| 
 | 
 | 
| 
 | 
 | 
| 
 | 
 | 
| 
 | 
 |