| (二)频数表法 | 《预防医学》 |
(二)频数表法当n较大时,先将观察值分组归纳成频数表,再按组段由小到大计算累计频数和累计频率。如表18-4中的(3)、(4)两栏,然后按公式(18.8)计算。
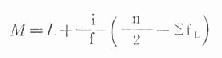
式中,L为中位数(即累计频率为50%)所在组段的下限;i为该组段的组距;f为该组段的频数;ΣfL为小于L的各组段的累计频数;n为总例数。 例18.6 求表18-4中数据的中位数 表18-4 164名食物中毒潜伏期的中位数和百分位数*计算表
*百分位数的意义与计算见后面的[附]. 由表18-4可见,50%在“12~”组段内,则L=12,i=12,f=58,ΣfL=25,n=164,按式(18.8)计算 M=L+i/f(n/2-ΣfL)=12+12/58(164/2-25)=23.8(小时) [附]百分位数:百分位数是一个位置指标,用Px表示。当P1,P2,……,P98,P99确定后,一个由小到大的有序数列即被分为100等份,各含1%的观察值。百分位数常用于描述一组偏态分布资料在某百分位置上的水平及确定偏态分布资料的医学正常值范围。第50百分位数(P50)也就是中位数,所以,中位数也是一个特定的百分位数。计算百分位数用公式(18.9) Px=L+i/fx(n.x%-ΣfL)公式(18.9) 式中,L、i、fx分别为Px所在组段的下限、组距和频数;ΣfL为小于L的各级段的累计频数。 例18.7 求表18-4中数据的P95。 求P95时,x=95,即累计频率为95%所在组段。本例为“48~”组段,则L=48,i=12,fx=12,ΣfL=146,n=164,代入公式、(18.9) P95=48+12/12(164×95%-146)=57.8(小时)
|
返回目录 |