二、二分法
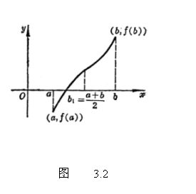
假定f(x)在[a,b]上连续,且f(a)f(b)<0(这里假定f(a)<0,f(b)>0),取区间[a,b]的中点
,若
=0,则f(x)=0的根是ξ=
.不然,若
>0,则令a1=a,b1=
;若
<0,则令a1=
,b1=b.于是形成新区间[a1,b1],它包含f(x)=0的根ξ(图3.2).
再取[a1,b1]的中点
,若
=0,则ξ=
.若
>0,则令a2=a1,b2=
;若
<0,则令a2=
,b2=b1.于是又形成新区间[a2,b2],其长度等于
,它包含方程f(x)=0的根ξ.…若允许误差ε=
,则按这个过程作出区间[a1,b1], [a2,b2],
[a3,b3],L, [an,bn],n=
([x]表示x的整数部分),于是
ξ*=![]()
是方程f(x)=0的近似根,误差不超过
|ξ-ξ*|£
£![]()
二分法是求实根的近似计算中行之有效的最简单的方法,它只要求函数是连续的,因此它的使用范围很广,并便于在电子计算机上实现.但是它不能求重根,也不能求虚根.