2. 求导数的基本法则

[四则运算求导公式] 若c为常数,函数u=u(x), 都有导数,

=0 =c

[复合函数的导数] y=f(u),u=都有导数,

=

[反函数的导数] 如果函数y=f(x)在点x有不等于零的导数,并且反函数x=f1(y)在点y连续,那末 存在并且等于,即

=

[隐函数的导数] 假定函数F(x,y)连续,并且对于每个自变量都有连续的偏导数,而且,则由

F(x,y)=0

所决定的函数y=f(x)的导数

=

式中(见本节,四)

[用参数表示的函数的导数] 设方程组

 (α<t<β

式中为可微分的函数,,则由隐函数存在定理(本节,,1)可把y确定为x的单值连续函数

y=

而函数的导数可用公式

求得。

[用对数求导数法] 求一函数的导数,有时先取其对数较为便利,然后由这函数的对数求其导数。

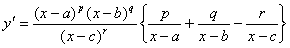
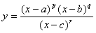
的导数。

两边各取对数,

lny=pln(xa)qln(xb)rln(xc)

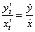
左边的lnyy的函数,y又为x的函数,故应用求复合函数的导数的法则得到

由此得

所以